2026-02-10

近日,北京航空航天大学联合秩益团队在航空航天领域顶级期刊《AIAA JOURNAL》以“后掠效应对缝翼离散噪声的影响”(Sweep Effects on Slat Tonal Noise)为题发表了最新研究成果。该研究依托秩益科技自主研发的高解析度工业仿真软件DIMAXER,对30P30N高升力构型开展高阶壁解析大涡模拟(WRLES),确立了准确快速预测缝翼噪声的最佳实践方案,从而深入探究并揭示了后掠效应对缝翼噪声的影响机理。

关于AIAA JOURNAL
《AIAA Journal》(美国航空航天学会杂志)是航空航天工程领域的国际顶尖权威学术期刊,创刊于1963年,由美国航空航天学会(AIAA)出版。期刊聚焦航空航天领域,收录范围涵盖流体力学、结构动力学、推进系统等多个学科方向的最新理论研究成果与工程实践应用情况,在航空航天诸多前沿领域具备广泛而深远的全球影响力。
后掠效应对缝翼离散噪声的影响
大涵道比涡扇发动机普及后,缝翼已成为商用飞机的重要噪声来源。在着陆阶段其噪声与发动机相当,直接影响适航认证与乘客体验。随着全球航空噪声法规日趋严格,通过数值模拟手段精准预测缝翼噪声已成为设计刚需。
而现有研究存在关键缺口:①传统尺度解析模拟需消耗数十万至数百万CPU核时,成本过高,工程难以落地;②绝大多数研究聚焦无后掠的三段翼构型,但实际商用客机存在后掠角,其对缝翼噪声的影响机制不明,学界结论不一。
在此背景下,本研究依托DIMAXER软件的高阶通量重构(FR)求解器,针对30P30N高升力构型开展高阶WRLES,确立了准确快速预测缝翼噪声的最佳实践方案,从而深入探究并揭示了后掠效应对缝翼低频离散噪声的影响机理。
研究表明,采用K3离散、50w网格的计算设置(约3千万求解点)可在保证精度和准确性的同时显著降低计算成本,仅需两张RTX4090D,共计74GPU小时即可获得10个流通周期的流场结果。
网格设置
不同网格和阶次下的缝翼区域流场Q图
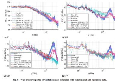
壁面压力脉动与实验和其他模拟的结果对比
通过FW-H计算得到的远场噪声结果
与实验和其他模拟结果的对比
通过对比20°至40°不同后掠角配置发现:随着后掠角的增大,声反馈回路强度减弱且剪切层扰动传播时间延长;当后掠角达40°时,展向声源间产生完全破坏性干涉,有效抑制声反馈回路相关的离散噪声,总噪声降低高达9.1dB。
不同后掠角下远场噪声的结果对比
展向声源的相干性分析表明,后掠效应通过削弱声反馈回路和诱导展向破坏性干涉两种机制,使大后掠角下的缝翼噪声水平显著降低。
将缝翼表面切分成20个条带做声源相干性分析
n=2~6模态下
(左)各条带的噪声贡献 (右)条带累积噪声贡献
n=2~6模态下
各条带的远场噪声信号与整个缝翼表面的远场噪声信号的相位差
依托DIMAXER高阶仿真技术,研究取得了关于后掠效应对缝翼离散噪声影响的突破性发现,为实际飞行器缝翼噪声控制提供了新思路与技术路径。未来,秩益科技将持续携手高校与航空企业深化产学研合作,进一步迭代仿真算法、加速工程转化,助力下一代国产大飞机研发,赋能航空装备的性能升级与产业竞争力提升。